This page was last updated on .
Solutions to some quiz problems:
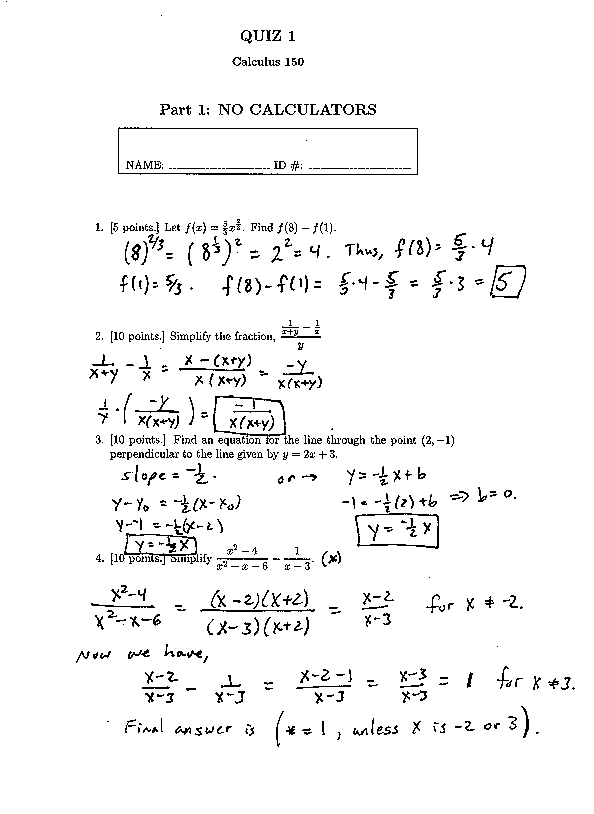
- Quiz 1 (pretest)
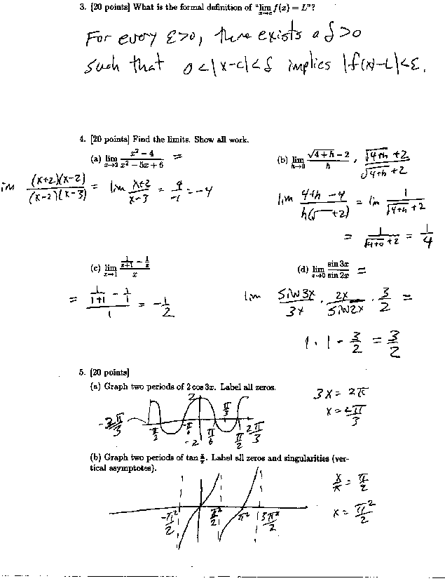
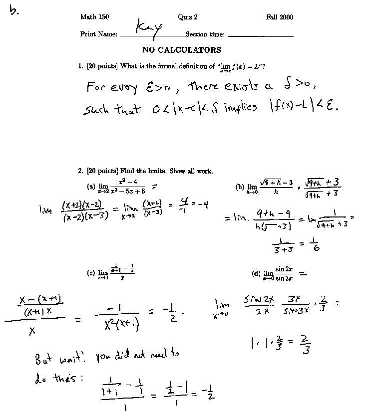
- Quiz 2
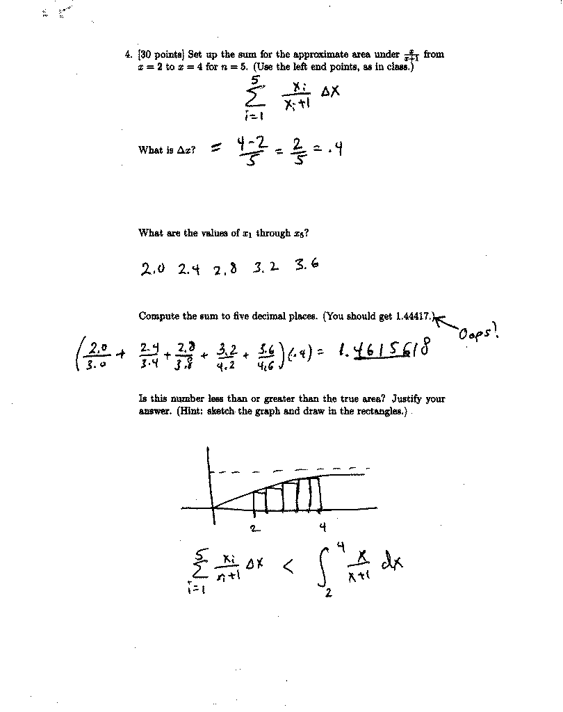
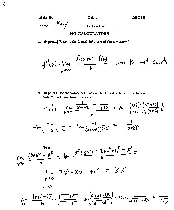
- Quiz 3
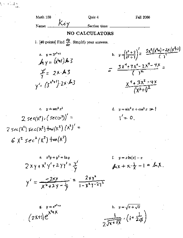
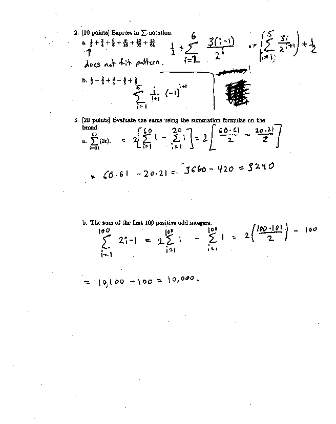
- Quiz 4 (Corrected)
- Quiz 5
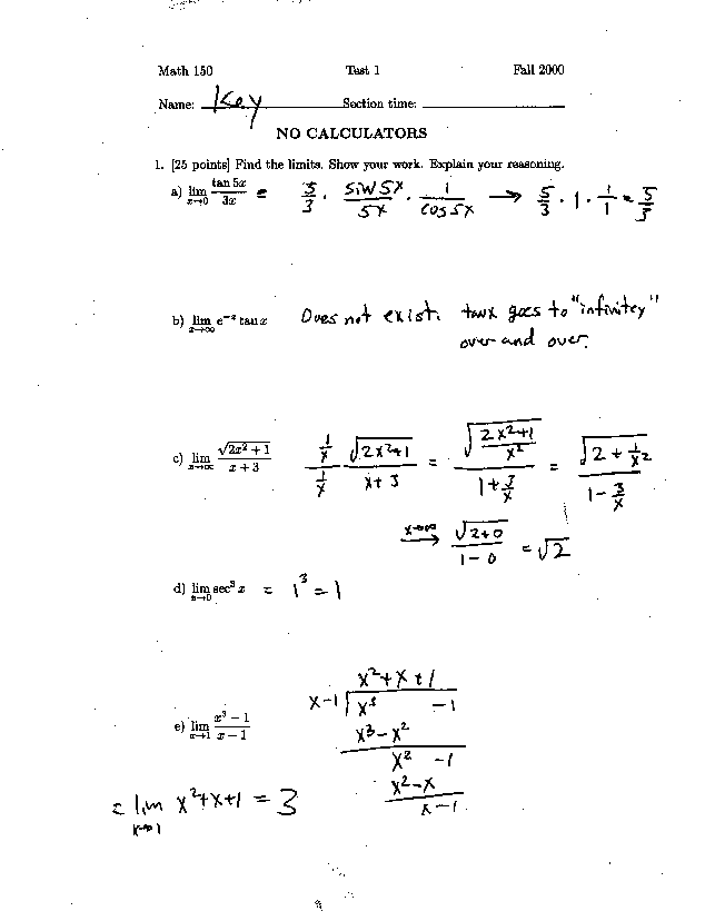
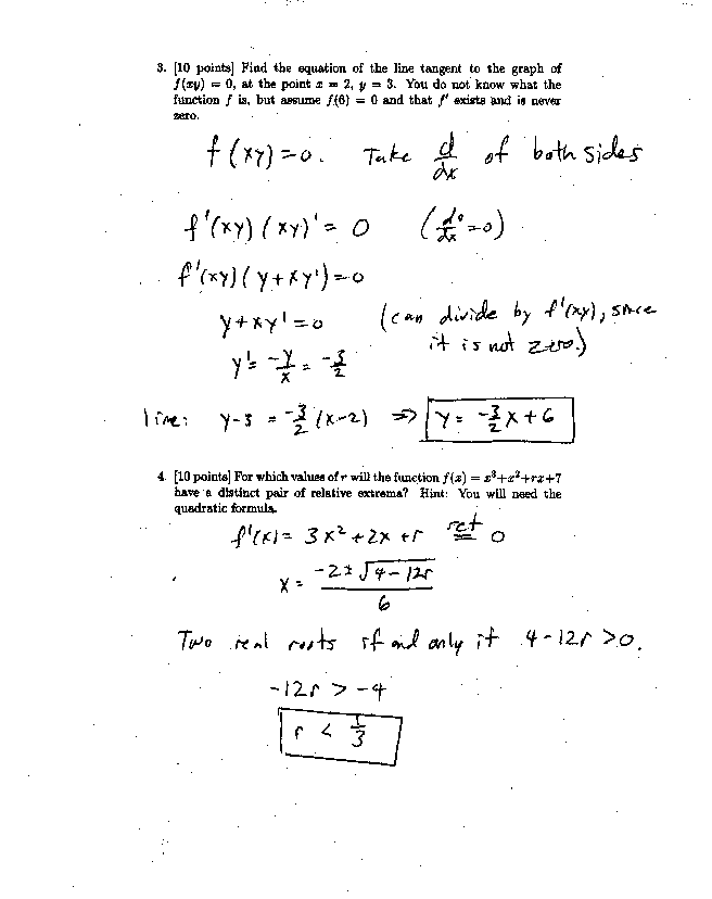
- Test 1
- Quiz 6 (Two versions were similar; some numbers were changed)
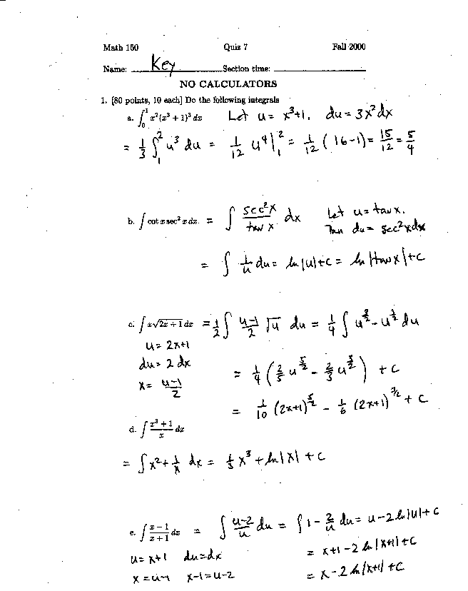
- Quiz 7
- Quiz 8
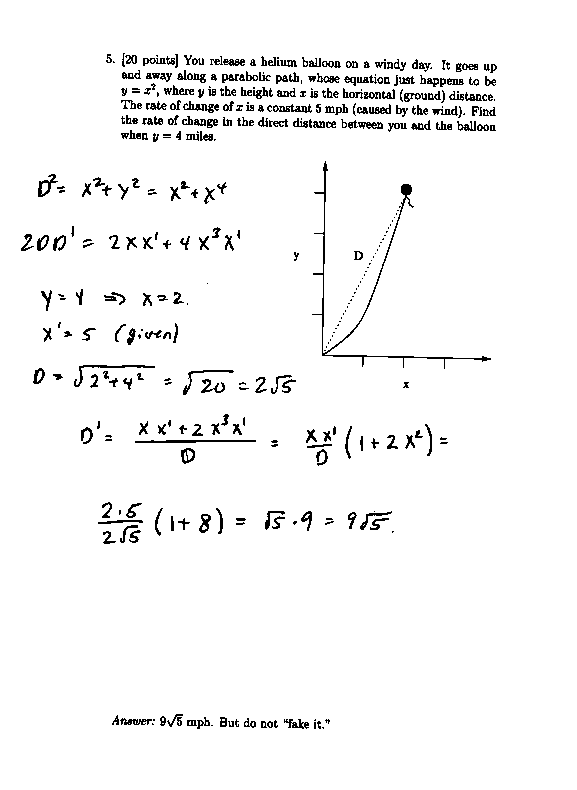
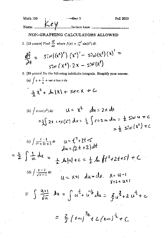
- Test 2
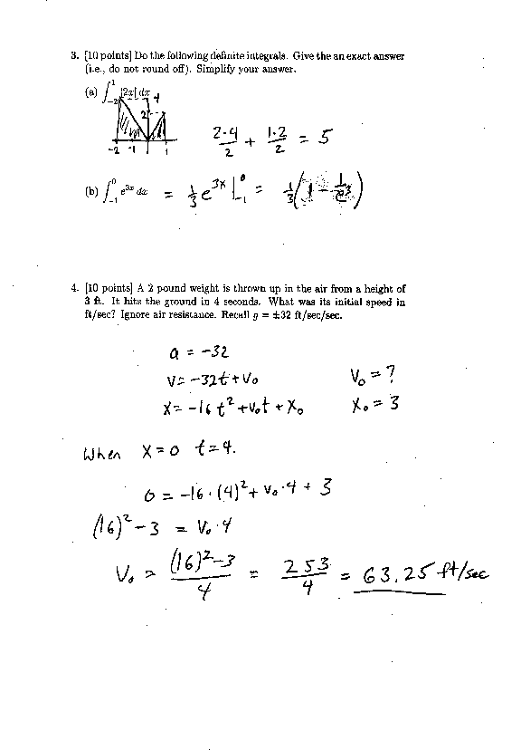
- Test 3
- Page 1
- Page 2
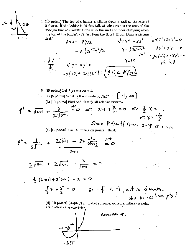
- Page 3(Correction: on #4 I forgot to divide by 2. Also I switched x & y, which is not incorrect, but may look odd.)