Some Solution to Math 221 Homework Problems
If you can't read something, first try to figure out what it should be.
If that fails e-mail me. Let me know if there are additional problems
whose solutions you would like to see.
msulliva@math.siu.edu
- Axioms Problems.
- 1.1 #20
- 1.1 #22 (Also see Example 7 on pages 8 & 9.)
- 1.1 #24
- 1.2 #T4
- 1.4 #T8
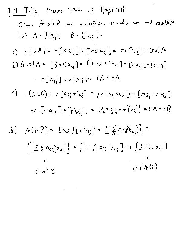
- 1.4 #T12
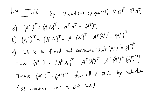
- 1.4 #T16
- 1.5 #30
- 1.6 #T4: See solution to Det. Handout #2.
- 1.6 #16
- 1.6 #T8
- Determinates Homework Problem 1
- Determinates Homework Problem 2, page 1
- Determinates Homework Problem 2, page 2
- Determinates Homework Problem 2, page 3
- Determinates Homework Problem 2, page 4
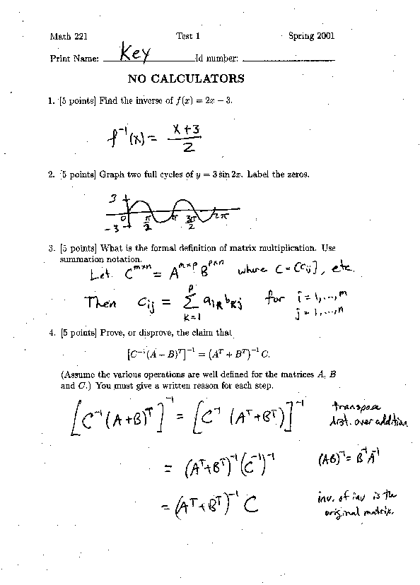
- Test 1, page 1
- Test 1, page 2
- Test 1, page 3
- Test 1, page 4
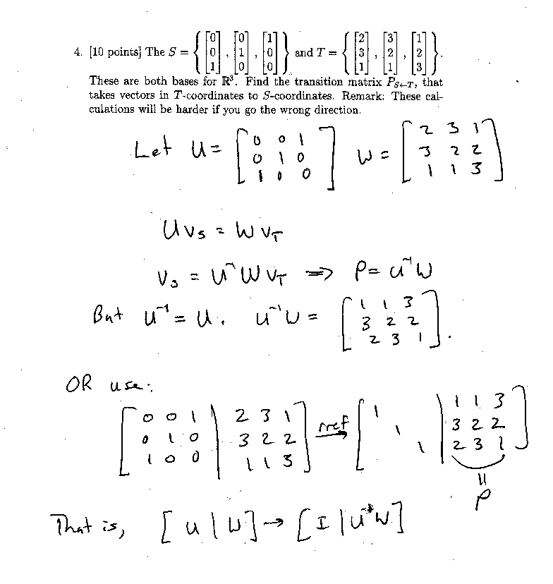
- 4.1 #20, parts a & b
- 4.1 #2
- 4.1 #16
- 4.1 #18
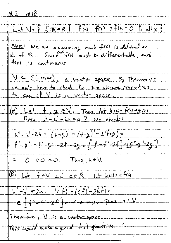
- 4.4 #28
- 4.5 #6 & 8
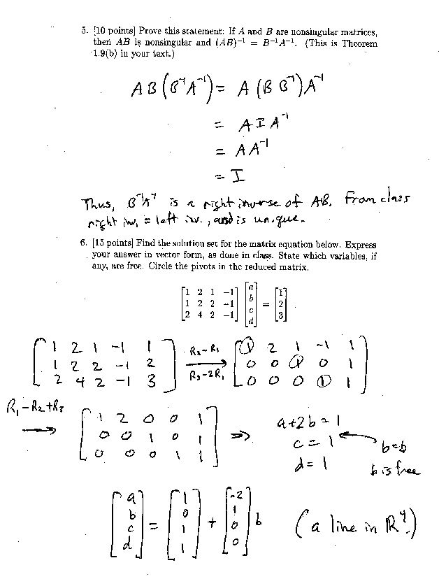
- 4.6 #6
- 4.6 #8 (Not assigned)
- 4.6 #T8
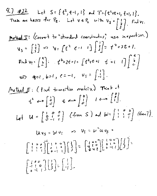
- 4.7 #22
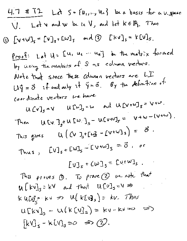
- 4.7 #T2
- Test 2:Page 1,
Page 2,
Page 3,
Page 4,
Page 5.
- Make up quiz. (Ready!!)
- Hwk Set 10: page 1,
page 2,
page 3.