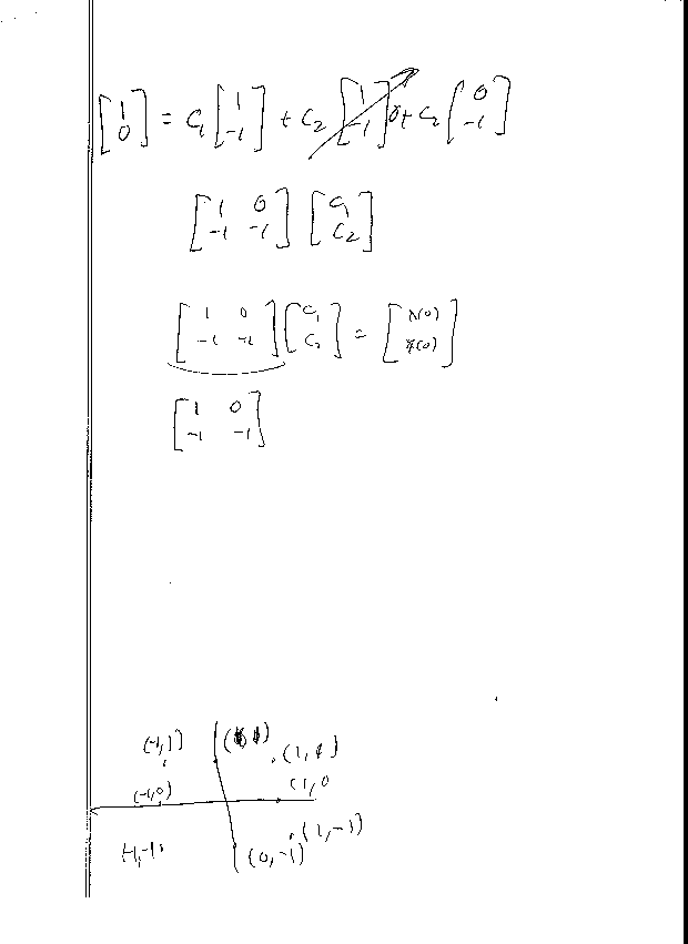
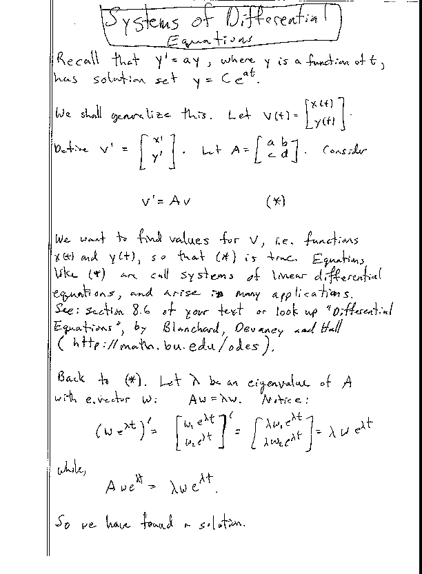
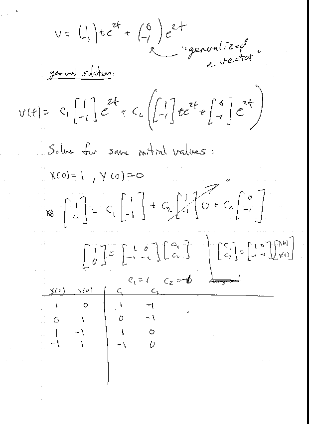
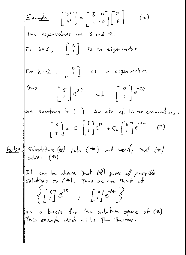
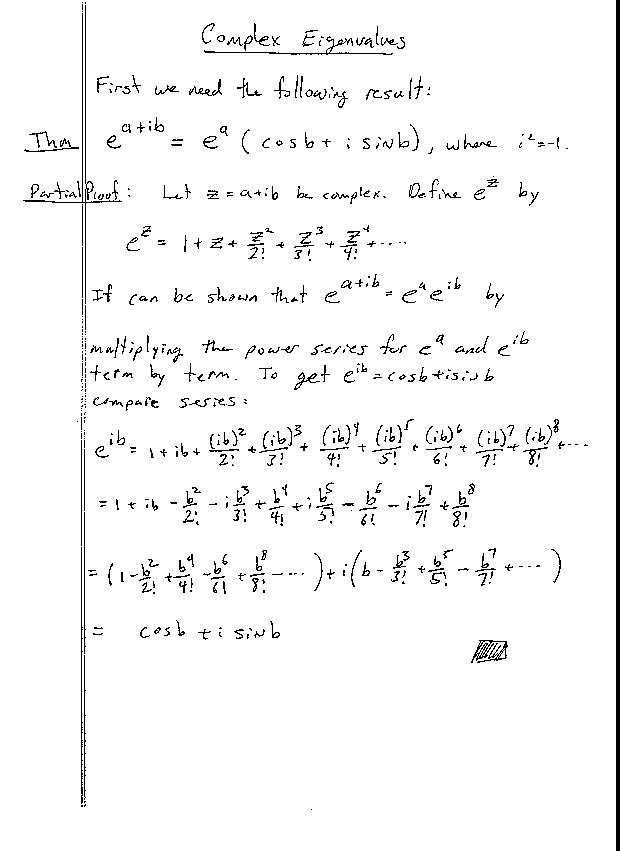
Differential equations Lecture Notes


The lectures notes are quite rough. While I hope you find them helpful they are by no means a substitue for regular class attendence and good note taking skills.

All items on this page are copyrighted by Michael C. Sullivan, 1999. They may not be used for commercial purposes without paying him Big Bucks. They may be used freely for nonprofit educational purposes.