Quiz and Test Solutions
Quiz 1:
General Comments
.
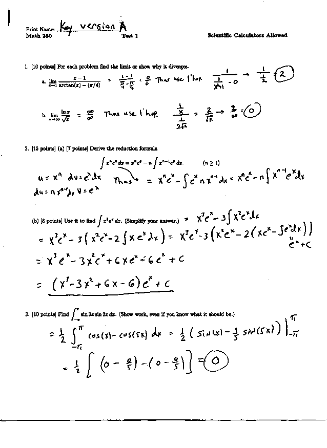
Quiz 1 (version A):
Page 1
,
Page 2
,
Page 3
.
Quiz 1 (version B):
Page 1
,
Page 2
,
Page 3
.
Quiz 2: All the problems where from the text (and odd) so you can look up the answers, once you get it back.
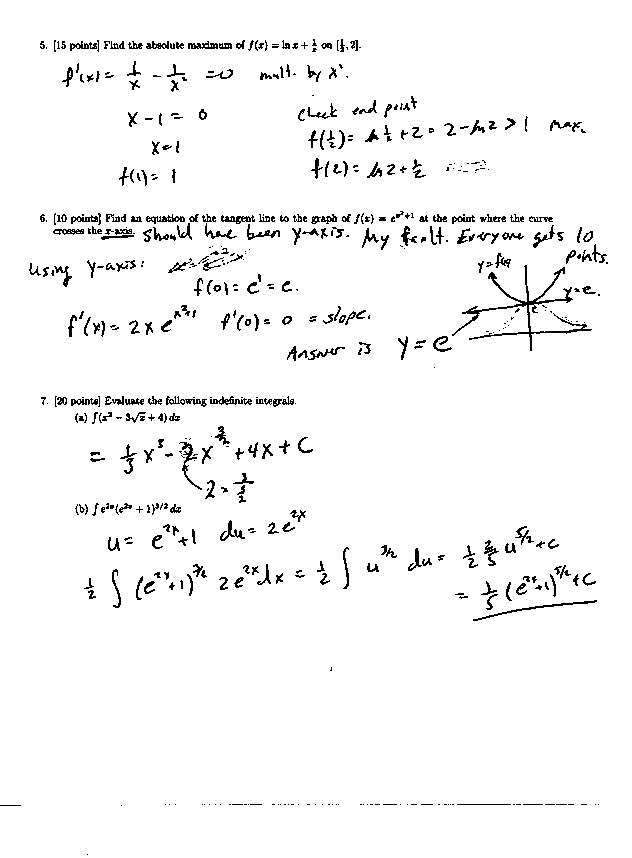
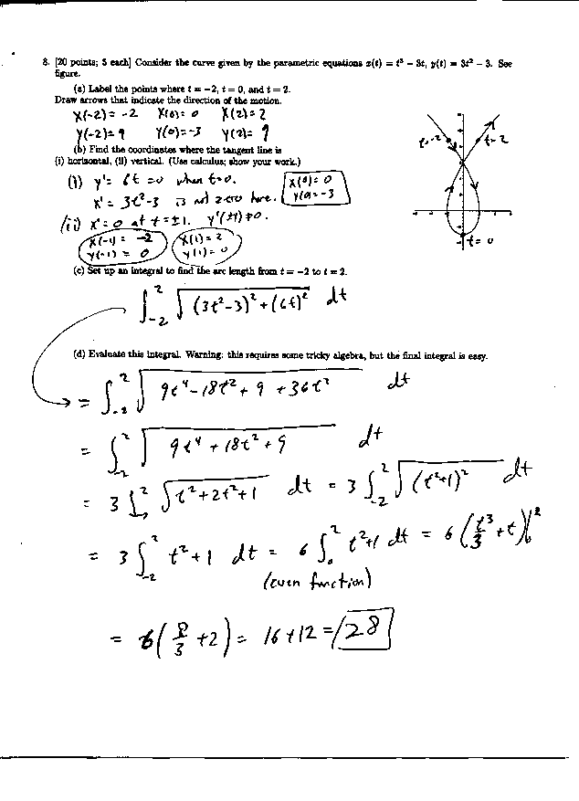
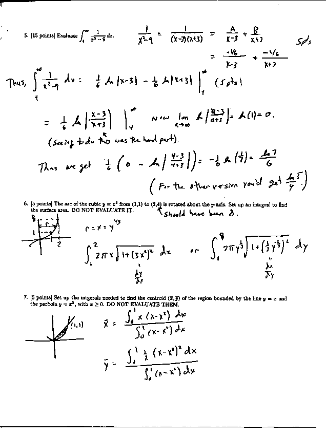
Test 1 (Version A):
Page 1
,
Page 2
,
Page 3
,
Page 4
.
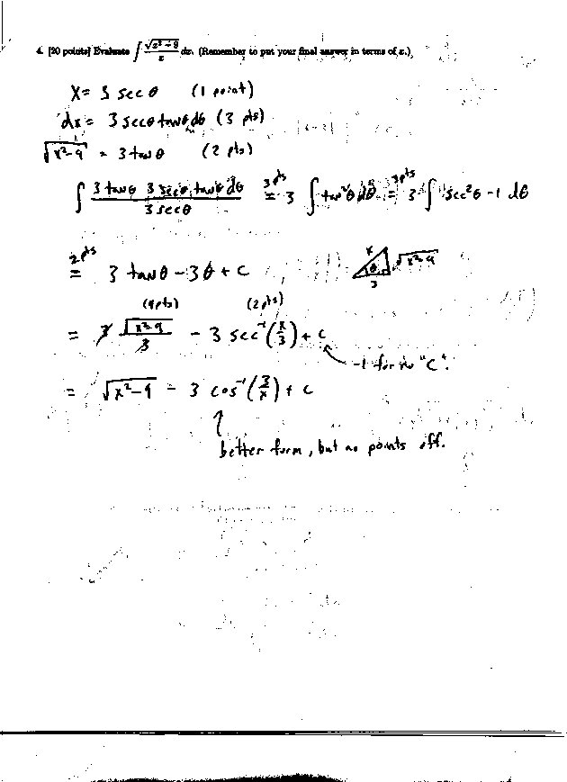
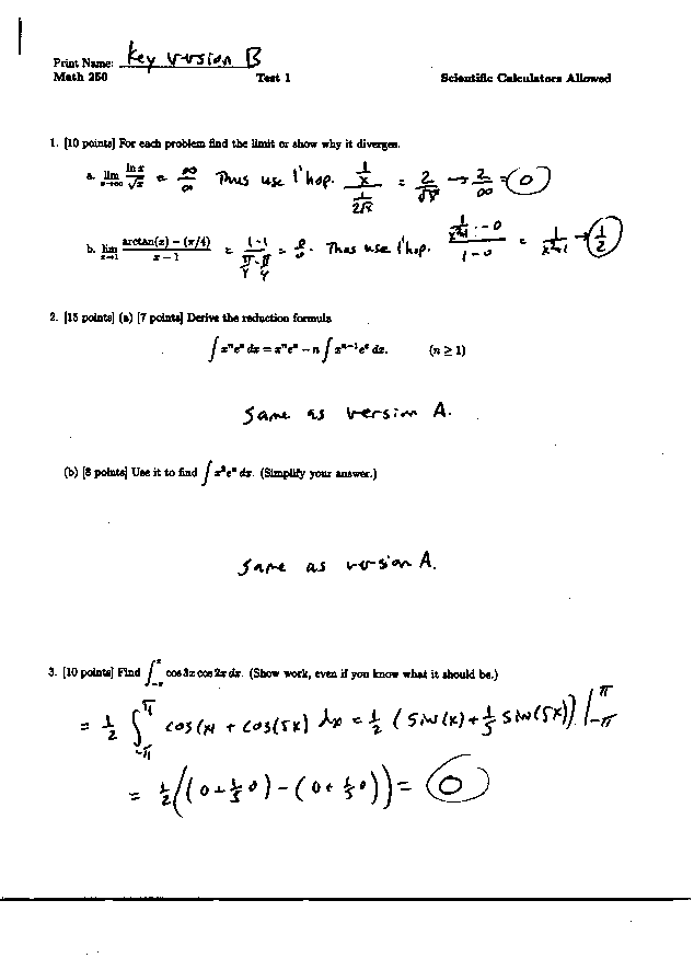
Test 1 (Version B):
Page 1
,
Page 2
,
Page 3
,
Page 4
.