Lecture Notes on Chapter 5
Page 1
Example 1
Page 2
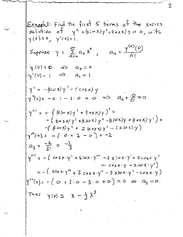
Example 2
Page 3
Example 3
Page 4
Ex 3 with Maple
Page 5
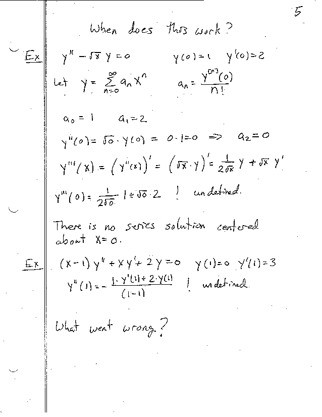
When do series work?
Page 6
Answer: at ordinary points
Page 7
What is the radius of convergence?
Page 8
Examples
Page 9
continued
Page 10
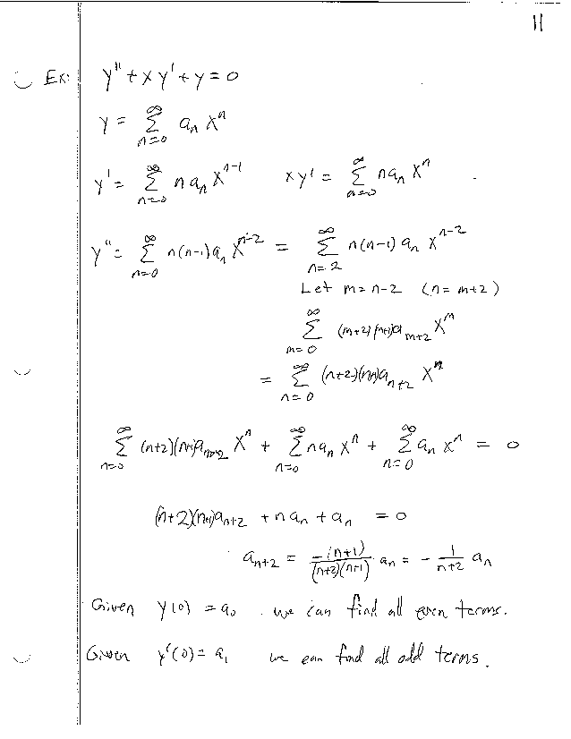
Recursive Formulas
Page 11
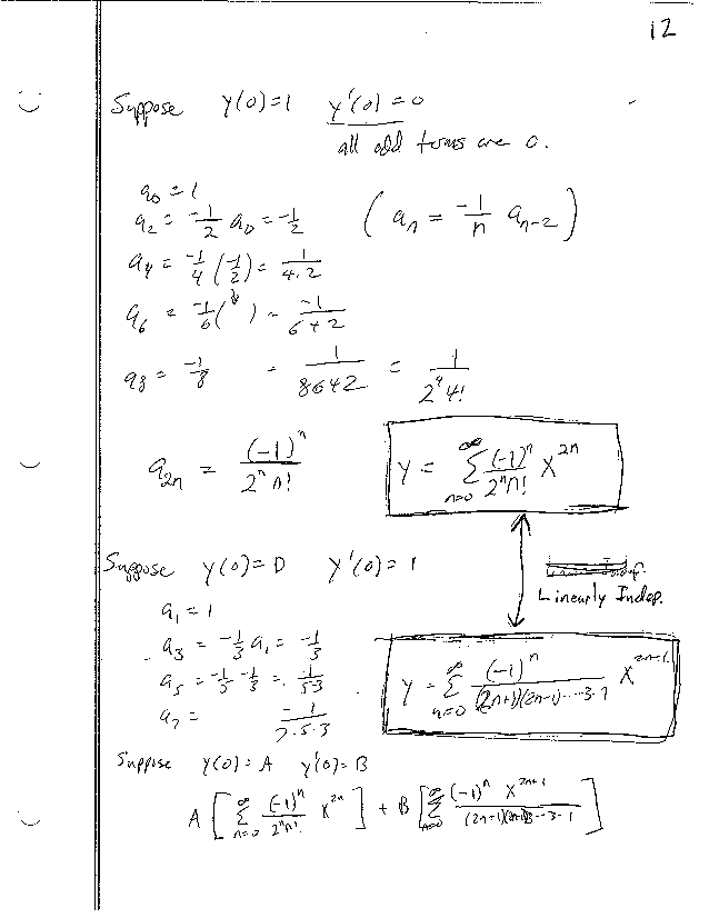
Example 1
Page 12
continued
Page 13
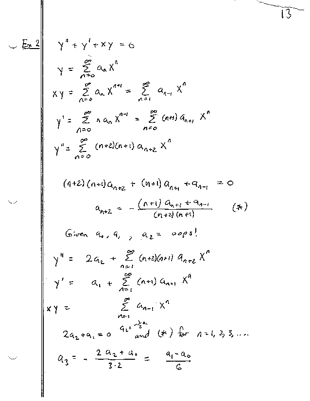
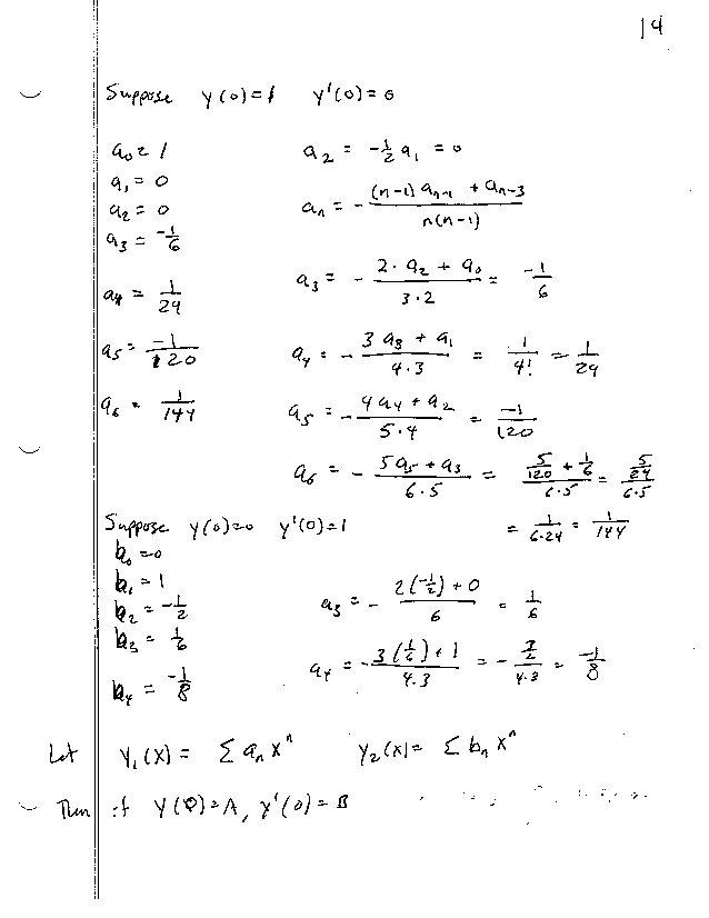
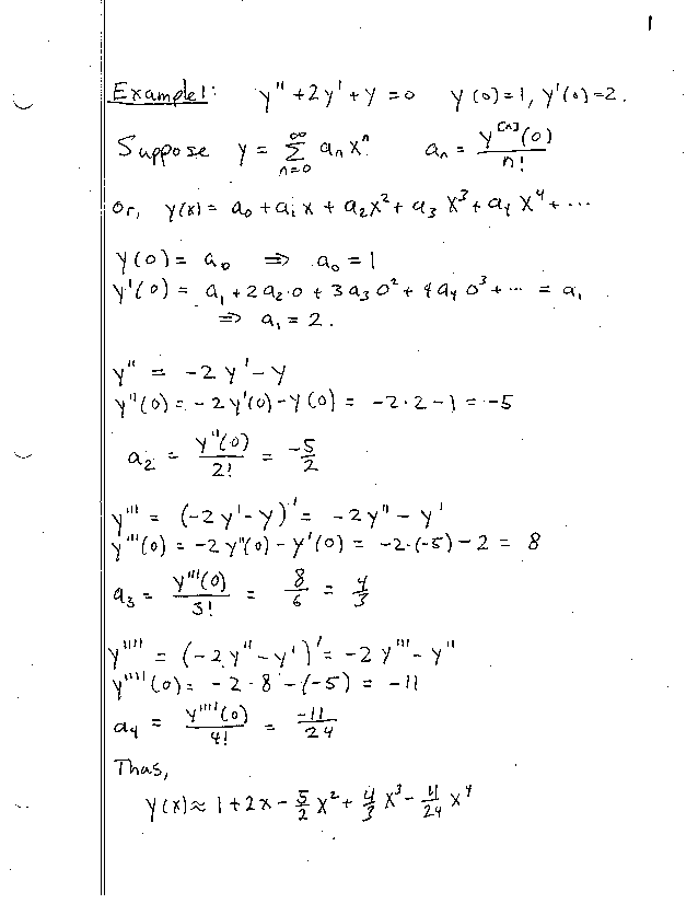
Example 2
Page 14
continued
Page 15
continued
Page 16
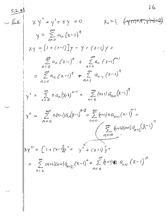
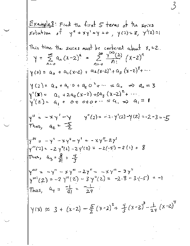
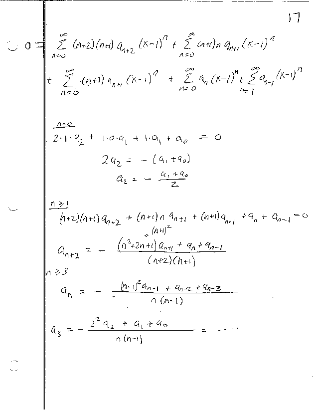
Example 3
Page 17
continued
Page 18
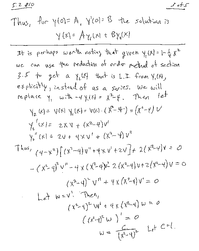
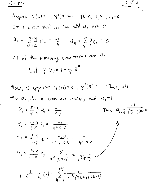
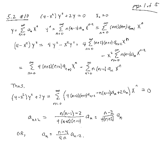
Example: 5.2 #10
Page 19
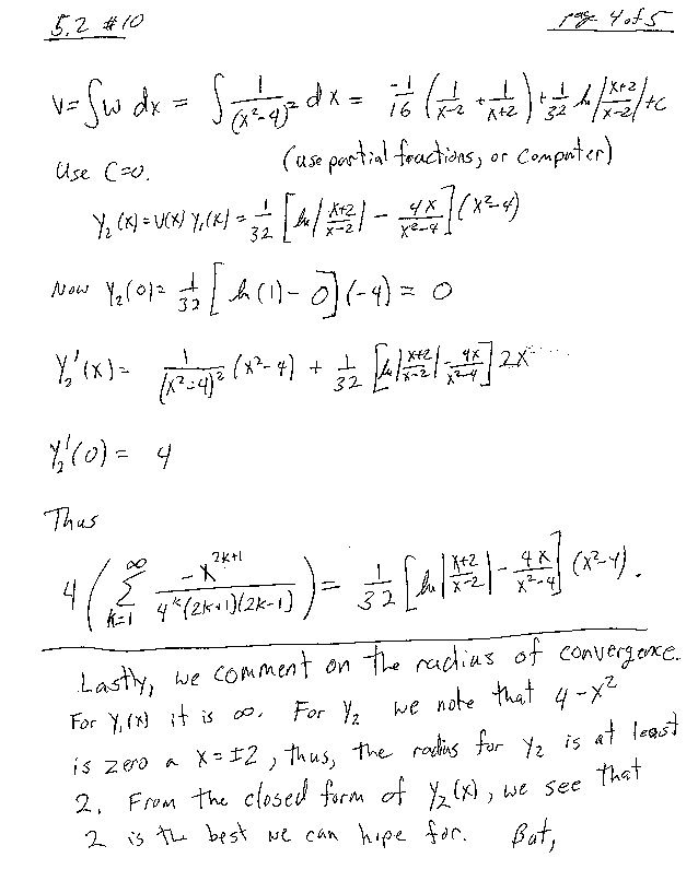
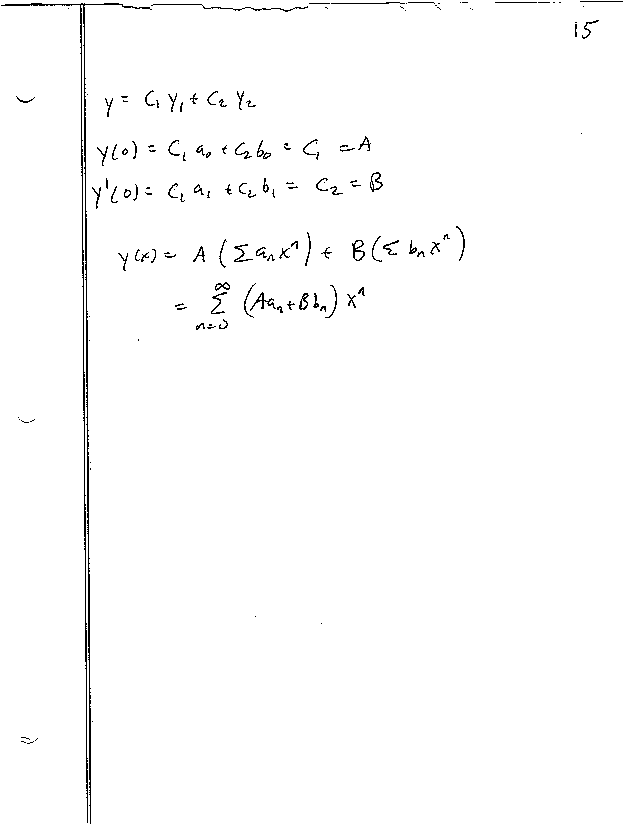
continued
Page 20
continued
Page 21
continued
Page 22
continued
Back.
That's all for now!