Practice Final Solutions
The solutions to the test are in GIF format. They are also posted outside my office door (Neckers 465).
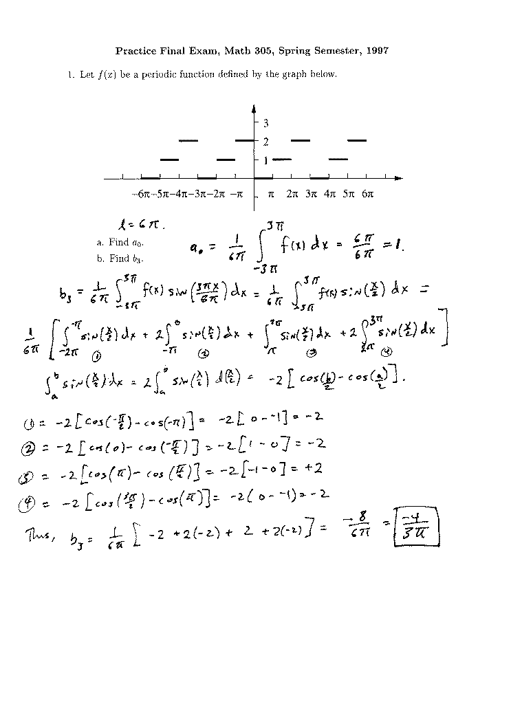
Problem 1
<-- Error! l=3 pi, not 6 pi.
Problem 2
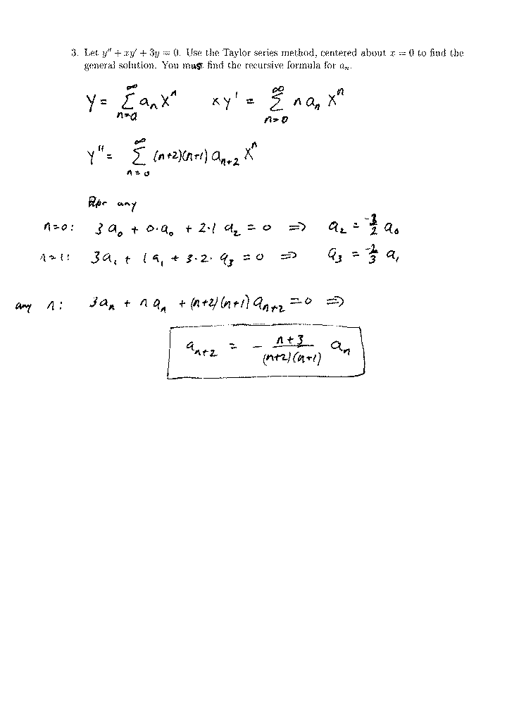
Problem 3
Problem 4
<--last line should have y not y'
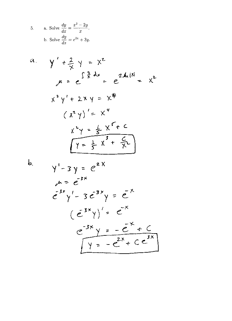
Problem 5
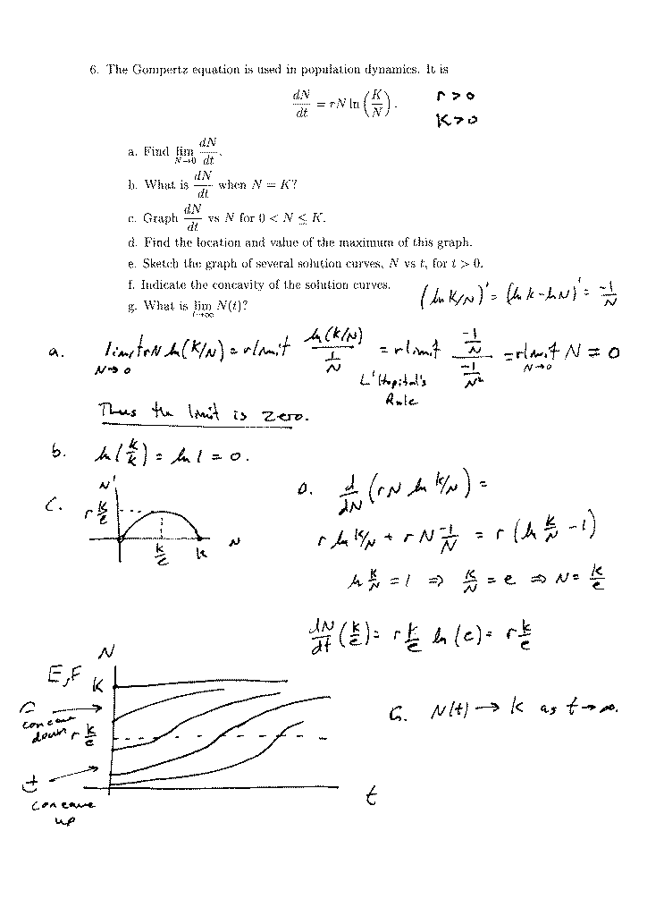
Problem 6
Problem 7: See pages 70-71 in text.
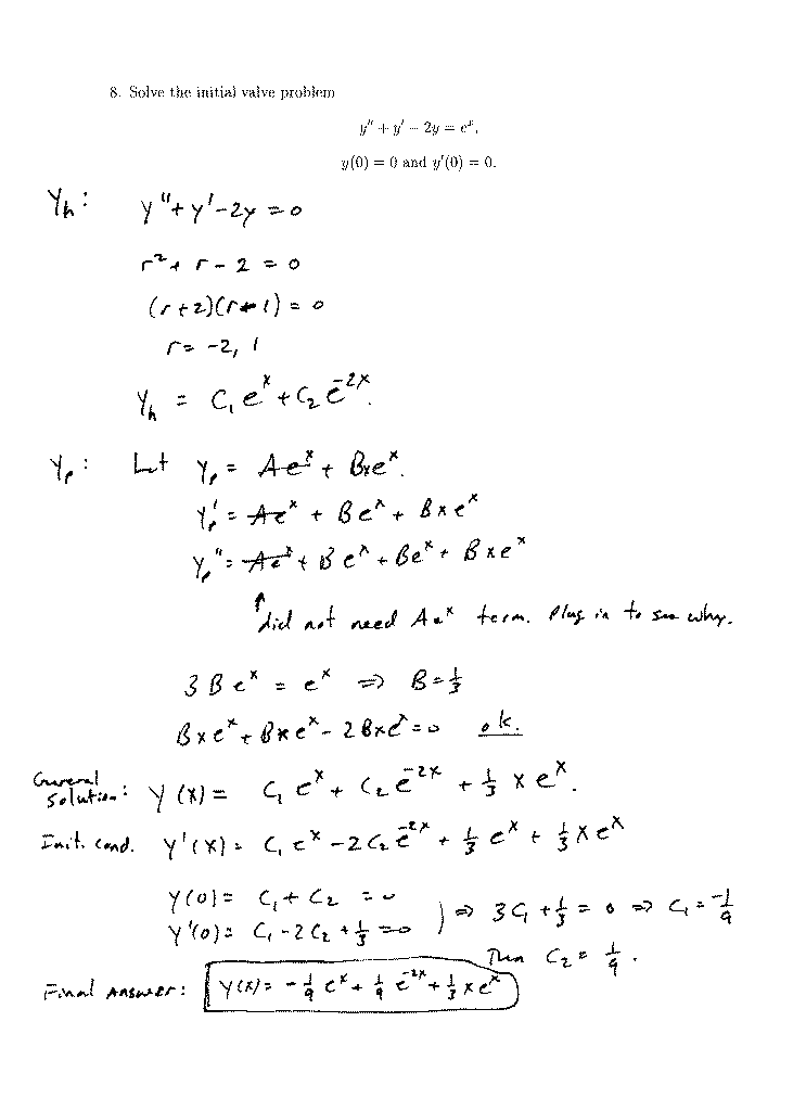
Problem 8
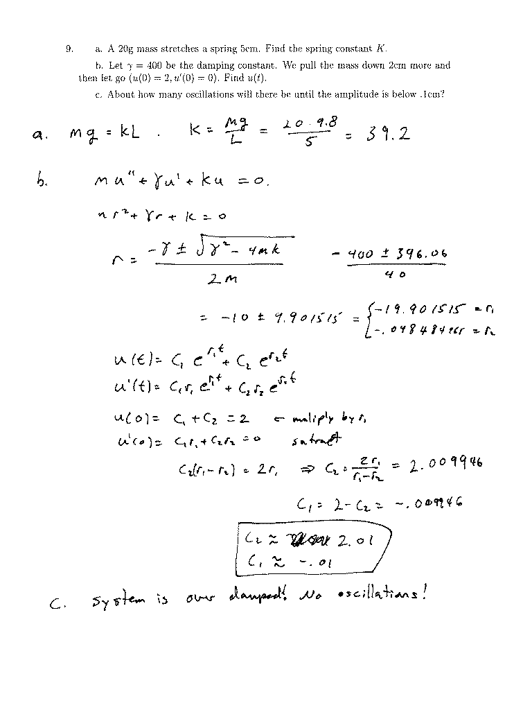
Problem 9