This page was last updated on .

E-mail me to request additional solutions. Newer problems should be clearer, but may take longer to down load. Let me know if there are any problems. New solutions are also posted next to my office door, 465 Neckers.

You can also request additional solutions by filling out a form.

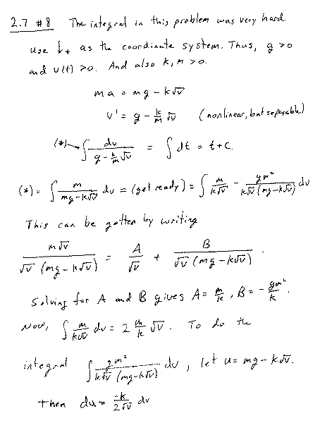
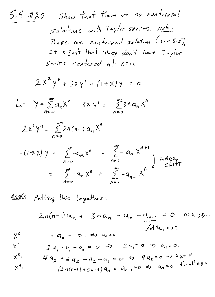
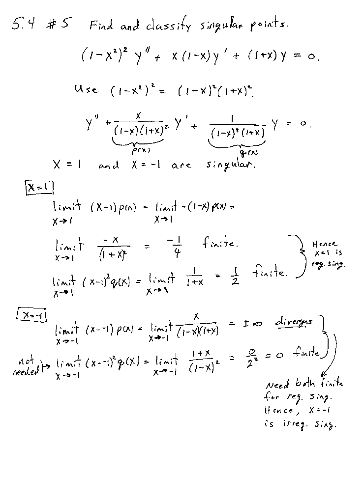
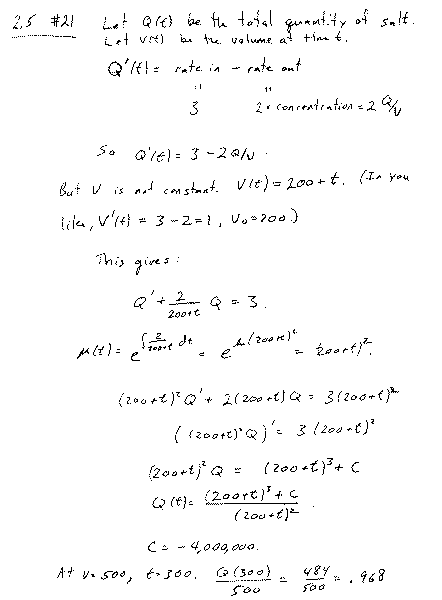
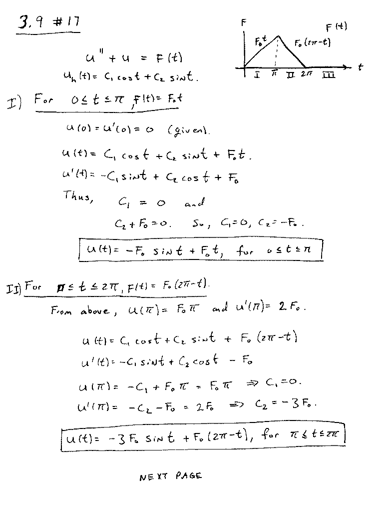
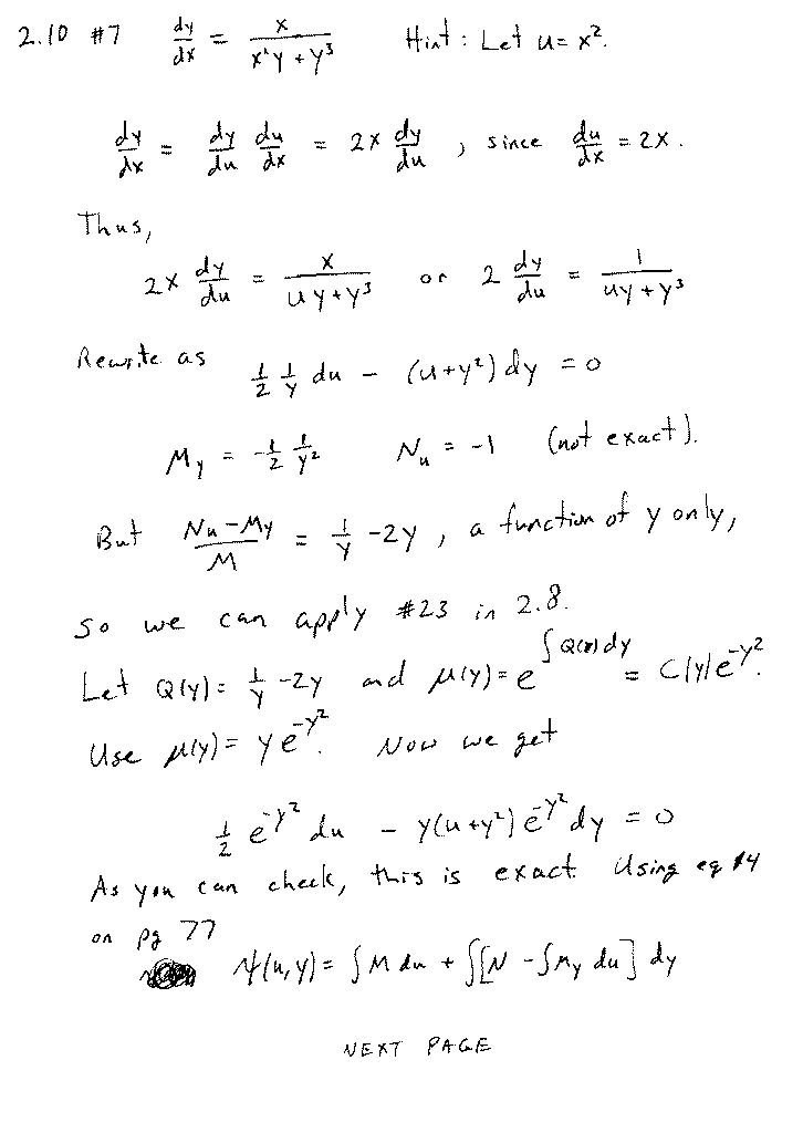
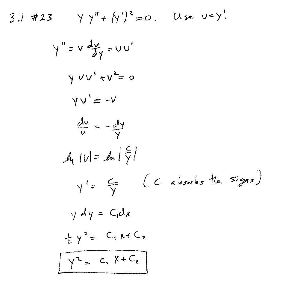
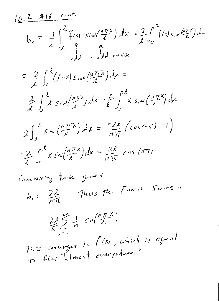
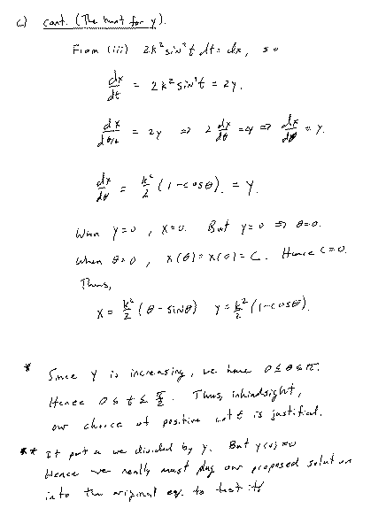
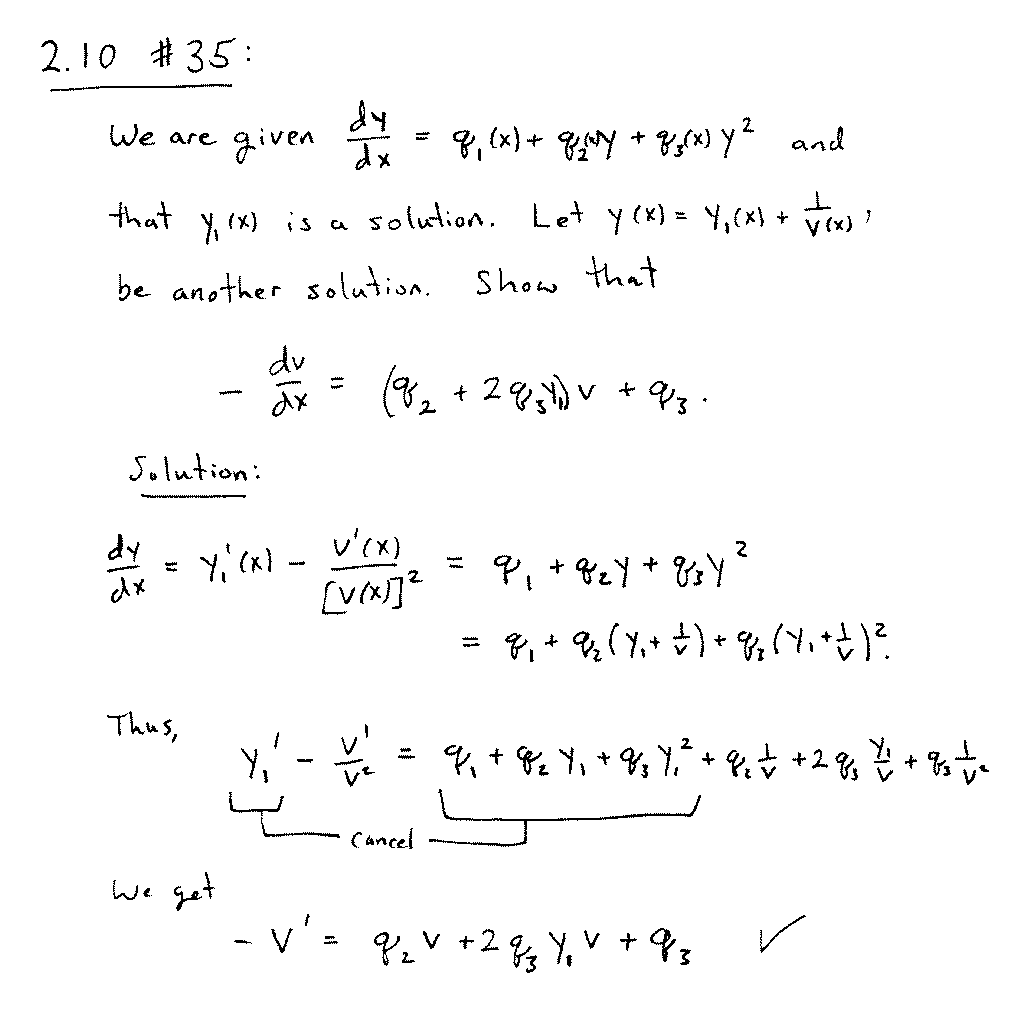
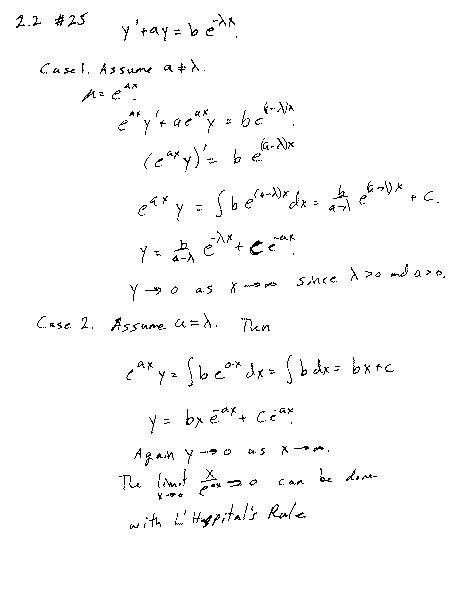
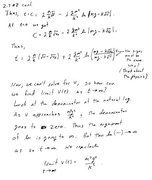
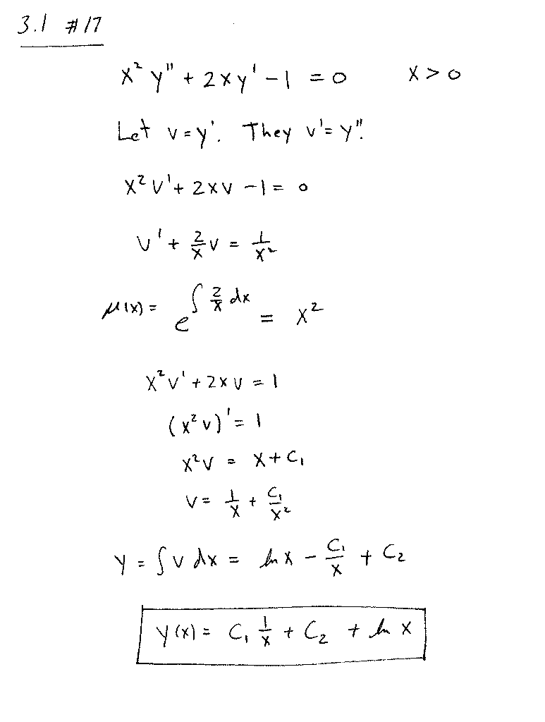
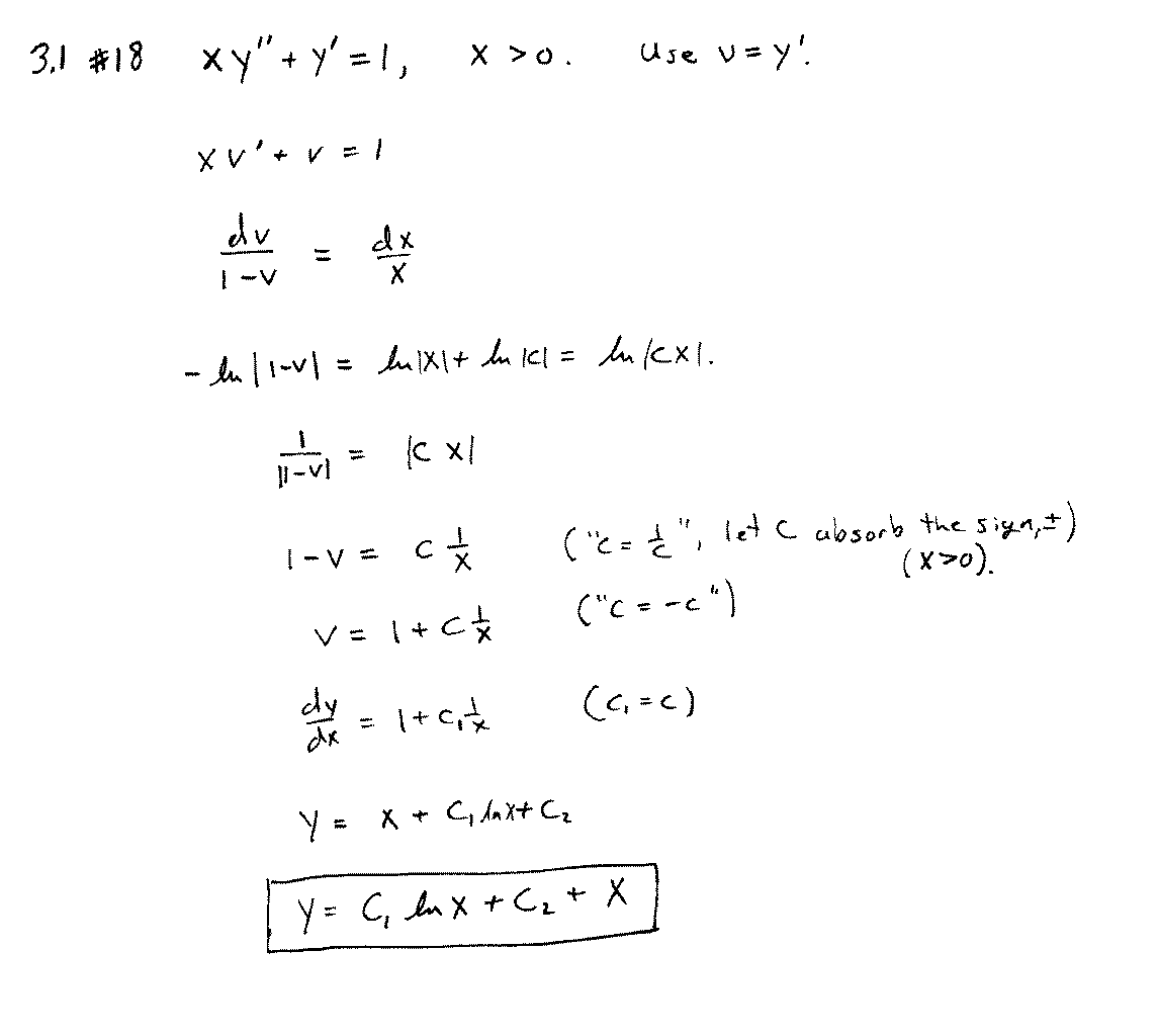
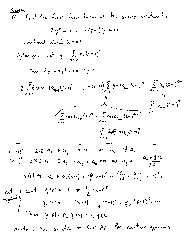
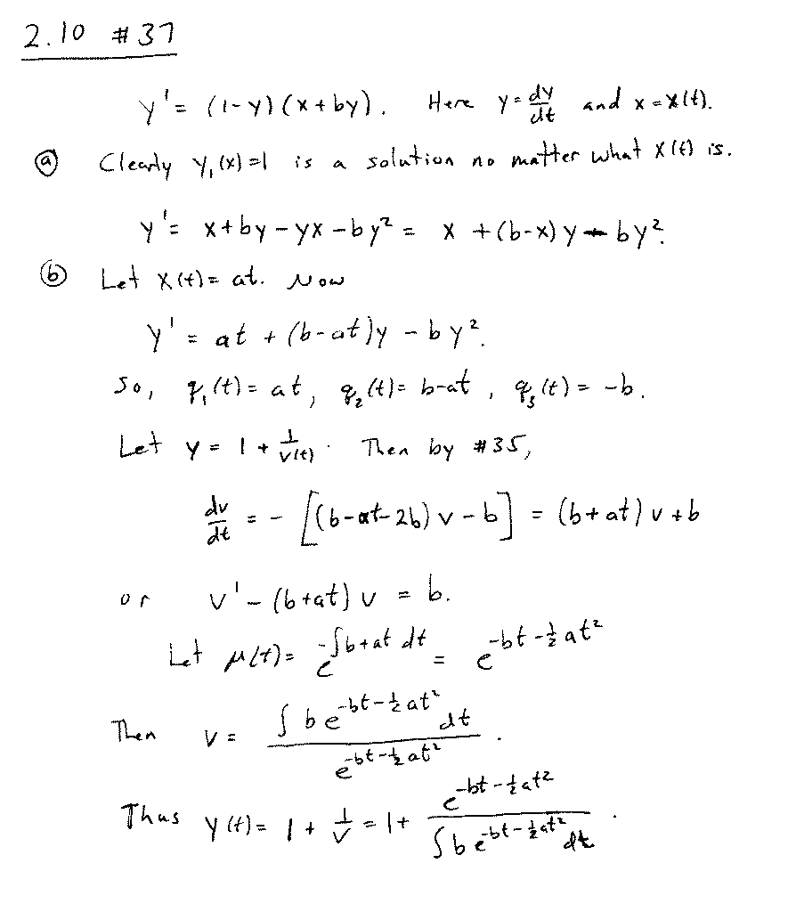
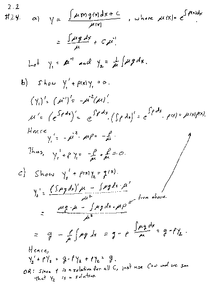
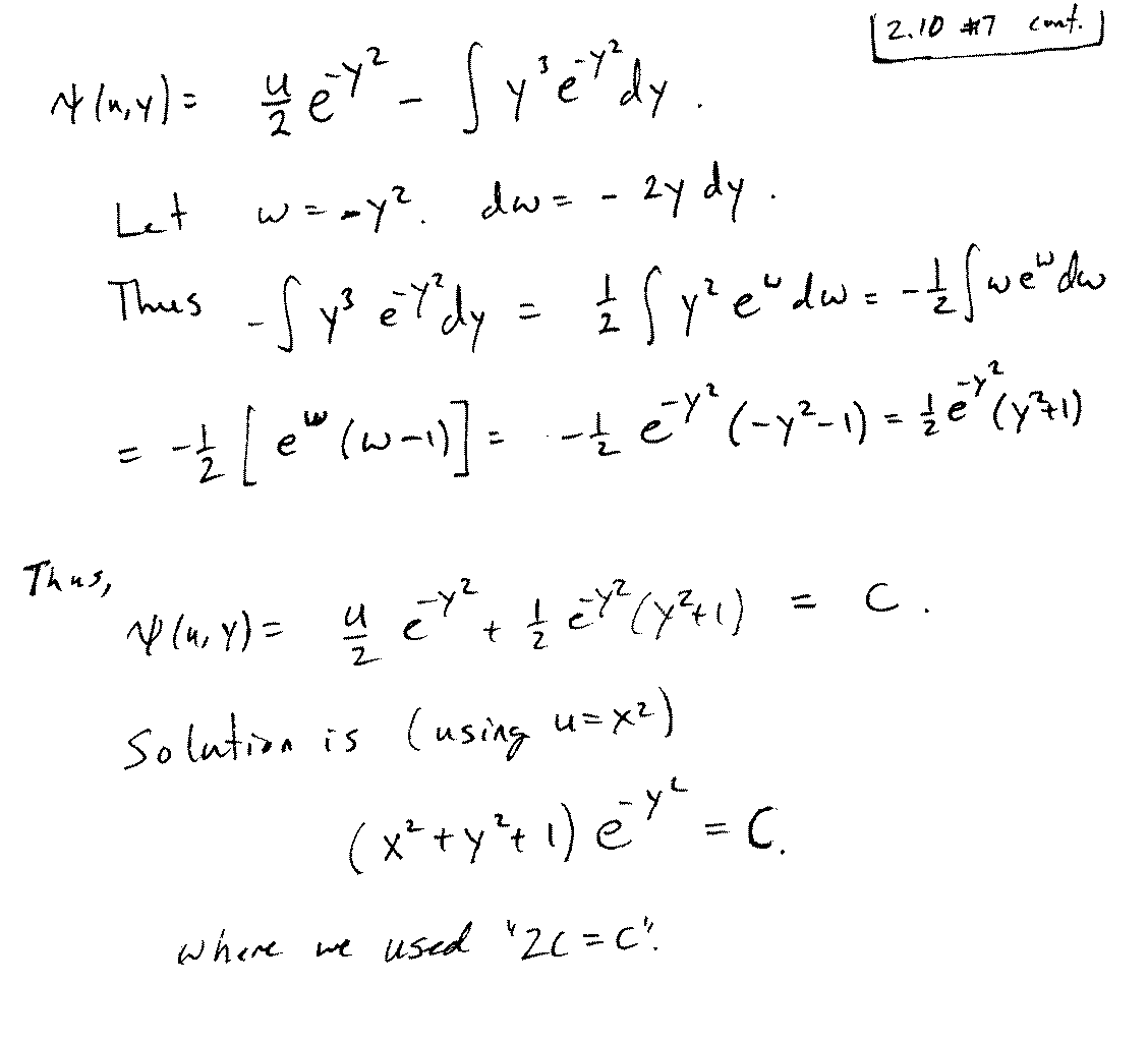
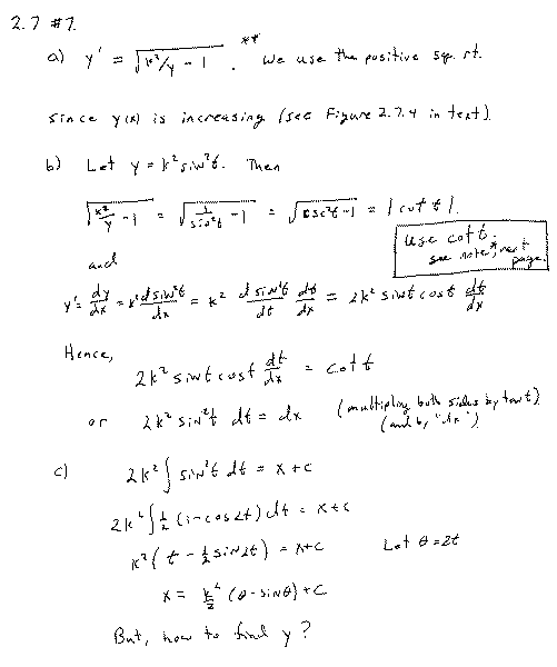
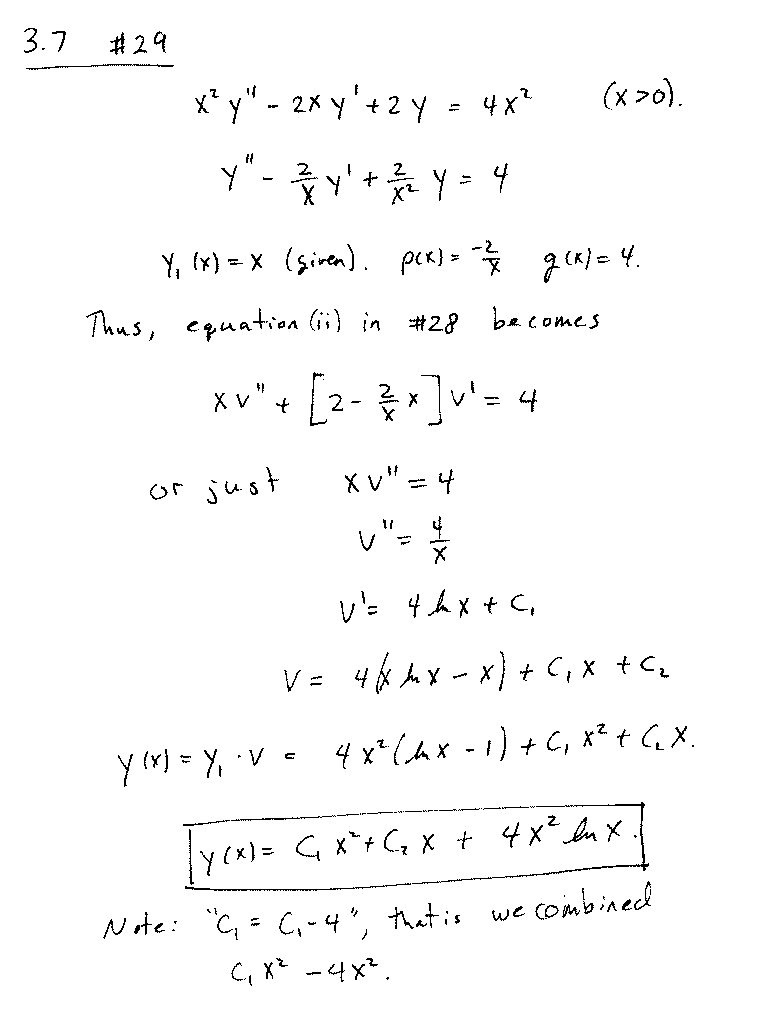
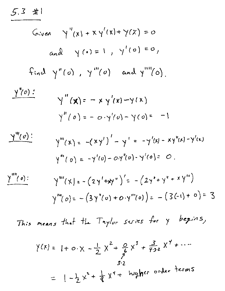
Solutions to some homework problems: