Test 2 Solutions
The solutions to the test are in GIF format. They are also posted outside my office door (Neckers 465).
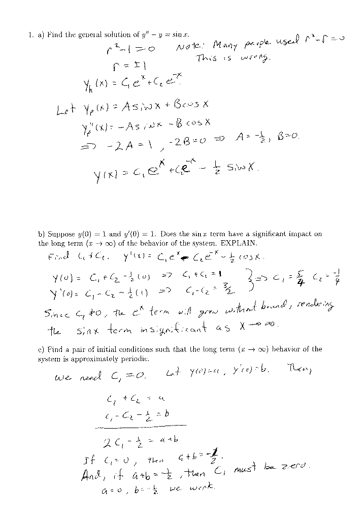
Page 1
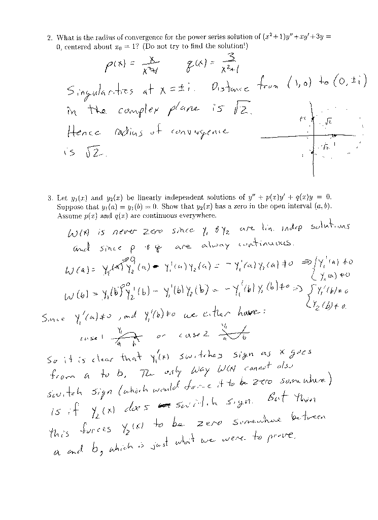
Page 2
Page 3
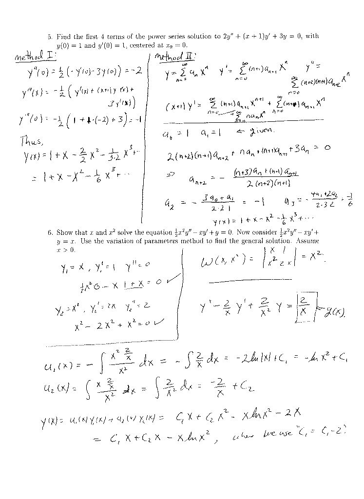
Page 4