Some Homework Solutions

Let we know if you cannot read these or if you find any errors. E-mail me to request additional solutions.



Test Solutions

  • Test 1, version A: Page1, Page2, Page3, Page4, Page5, Page6.
  • Test 1, version B: Page1, Page2, Page3, Page4, Page5, Page6.
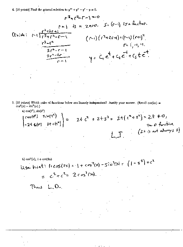
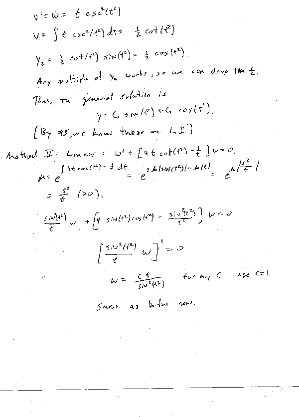
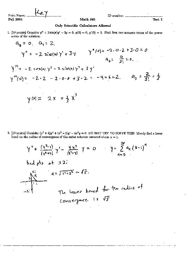
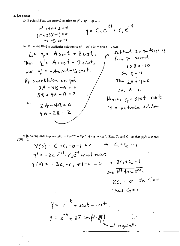
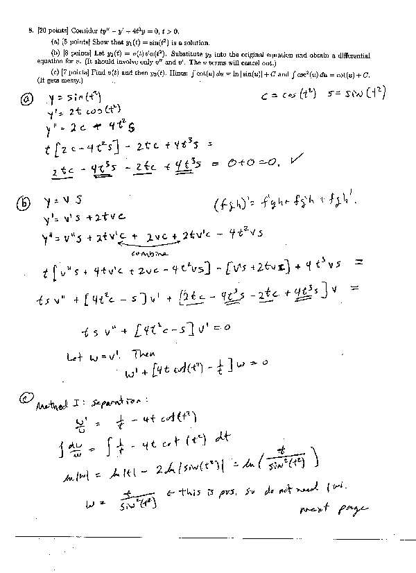
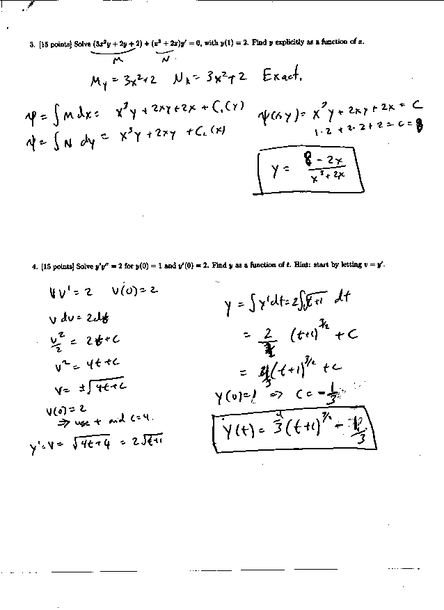
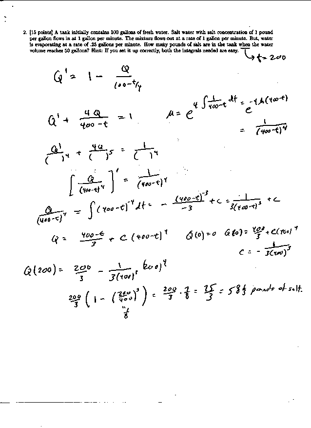
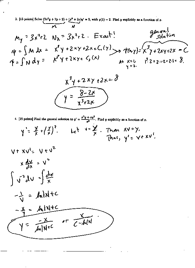
  • Test 2: Page1, Page2, Page3, Page4, Page5, Page6.